Ultimatum SBY Jika Ribuan Barang Milik Kemenpora Tak Dikembalikan Roy Suryo

Mantan Menpora, Roy Suryo. (MP/Ponco Sulaksono)
Merahputih.com - Politisi Partai Demokrat, Roy Suryo diduga belum mengembalikan barang milik negara (BMN) saat dirinya menjabat sebagai Menteri Pemuda dan Olahraga 2012 hingga 2014.
Dalam surat bernomor 513/SET.BIII/V/2018 tertanggal 1 Mei 2018, Roy Suryo tercatat belum mengembalikan BMN sebanyak 3.226 unit. Dalam surat itu tidak dirinci barang apa saja yang belum dikembalikan Roy ke Negara.
Sekretaris Kementerian Pemuda dan Olahraga (Kemenpora) Gatot Dewa Broto, mengatakan, Roy pernah mengembalikan barang milik negara (BMN). Namun barang yang dikembalikan Roy belum semuanya. Saat itu, Roy baru mengembalikan barang degan total nominal Rp 500 juta.

"Roy sudah mengembalikan barang tapi jumlahnya baru Rp 500 juta," ujar Gatot beberapa waktu lalu.
Menurut Gatot, salah satu barang yang sudah dikembalikan adalah sofa dan peralatan kantor, yang nominalnya Rp 500 juta. "Peralatan kantor, kayak kursi dan sofa," imbuhnya.

Dari keterangan Gatot, artinya Roy belum mengembalikan semua barang yang dibawa selama menjabat sebagai menpora. Itulah kemudian diterbitkan surat bernomor 513/SET.BIII/V/2018 tertanggal 1 Mei 2018.
Gatot sendiri menegaskan, Roy Suryo harus mengembalikan barang-barang itu. "Wajib dikembalikan," tegas Gatot.
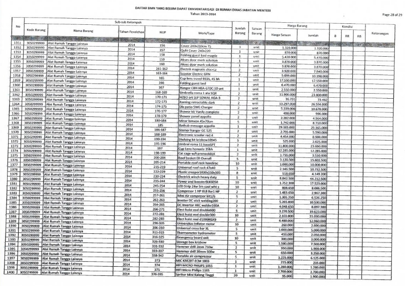
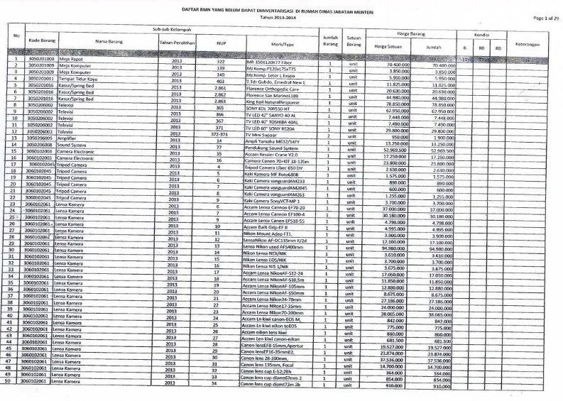
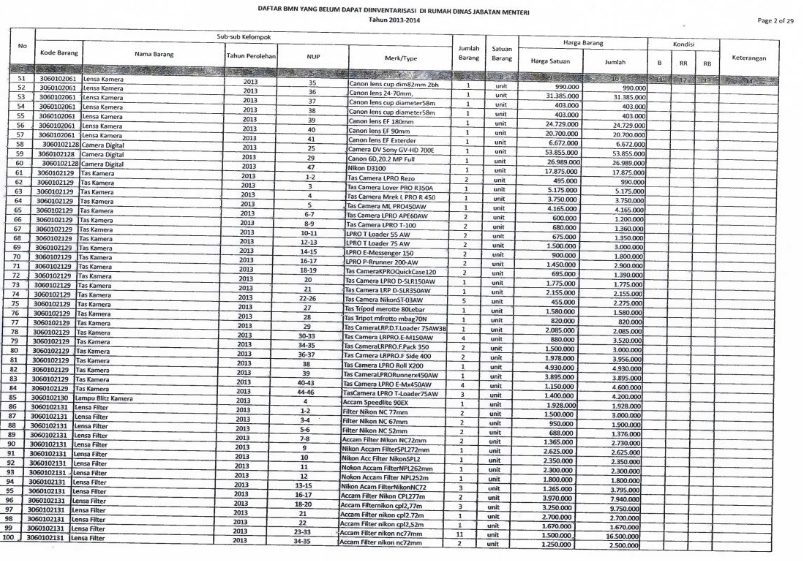
Lalu, kini tersebar surat Kemenpora yang ditandatangi langsung oleh Menpora Imam Narawi untuk Roy tertanggal 17 Juni 2016. Surat itu terlampir item barang, jumlah, dan harga. Barang-barang itu disebut belum dapat diinventarisasi di rumah dinas jabatan menteri tahun 2013-2014.

Selain berisi daftar barang yang belum dikembalikan, Surat bernomor 1711/Menpora/INS/VI/2016 itu meminta kepada Roy Suryo untuk segera mengembalikan BMN (Barang Milik Negara) berdasarkan temuan Badan Pemeriksa Keuangan (BPK) yang tertuang dalam surat nomor 100/S/XVI/05/2016 tanggal 3 Mei 2016.
Dari surat itu, 10 barang termahal yang dibawa Roy Suryo antara lain adalah Kasur Spring Bed tipe King Kold + Bantal senilai Rp 175.725.000, Peralatan Pemancar Rp 106.889.000, Lensa Nikon used AFS400 mm Rp 94.980.000, Lensa Kamera tipe Accam Lens NKN AFS 200-400 Rp 80.850.000 dan Meja Rapat tipe MR 350x120x77 Fiber Rp 70.400.000.

Ada pula Karpet Turki impor 24 meter Rp 69.480.000, Televisi Merk Sony KDL 70R550-HT Rp 62.950.000, Kamera Digital tipe DV Sony GV-HD 700E Rp 53.855.000, Kamera Nikon D-80035.9x240 Rp 46.500.000 dan Lenca Carl Zeiss Nikon 15 mm Rp 40.800.000.
Kasus itu pun membuat Ketua Umum partai Demokrat, Susilo Bambang Yudhoyono (SBY) angkat bicara. SBY mengultimatum Roy Suryo agar mengembalikan barang-barang milik negara.

"Pesan Pak SBY, apabila itu benar dibawa pulang maka Roy Suryo diperintahkan segera mengembalikkan nya kepada Pemerintah," kata Kadiv Advokasi dan Hukum Partai Demokrat Ferdinand Hutahaean, minggu (9/9).
SBY memberikan waktu kepada Roy selama tujuh hari untuk menyelesaikan polemik barang milik negara itu. Roy juga diminta berkoordinasi dengan Kemenpora dan BPK.

"Pihak Kemenpora, dan maupun BPK melakukan klarifikasi barang apa saja yang dibawa pulang dan kalau memang dibawa pulang, supaya dikembalikan. Kalau tidak benar dibawa pulang, maka disampaikan ke Kemenpora bahwa ini tidak dibawa pulang," jelas Ferdinand. (*)
Bagikan
Angga Yudha Pratama
Berita Terkait
Relawan Joman Pertanyakan Status Tersangka Roy Suryo

Roy Suryo Tertawakan Relawan Jokowi Desak Polisi Tetapkan Dirinya Tersangka

Erick Thohir Diharap Ubah Paradigma Olahraga Nasional Agar Tak Lagi Terjebak dalam Pusaran Ego Sektoral

Presiden FIFA Tegaskan Erick Thohir Sosok Multitalenta, Restui Rangkap Jabatan Sebagai Menpora

Menuju SEA Games Thailand 2025: Indonesia Hadapi Tantangan Anggaran dan Potensi Kehilangan Medali Emas

Lengser dari Menpora, Dito Percaya Erick Thohir Bisa Naikkan Tukin ASN Kemenpora 100%

Jadi Menpora, Erick Thohir Pastikan Tidak ‘Berat’ ke Salah Satu Cabor

Prosesi Serah Terima Jabatan Menteri Pemuda dan Olahraga Dito Ariotedjo kepada Erick Thohir

Erick Thohir Jadi Menpora, Presiden FIFA Beri Ucapan Selamat dan Sinyal Positif

Pengamat Sebut Erick Thohir Sosok Tepat Pimpin Kemenpora, Termasuk untuk Selesaikan Masalah Organisasi Induk Cabor
